Berikut soal UN Fisika SMA tahun 2017 dan pembahasannya untuk no 1 - 10 diserta pula beberapa tips dan jurus jitu dalam mengerjakan soal-soal tipe UN. Silahkan dinikmati dan jika ada yang belum paham bisa ditulis di komentar. semoga bermafaat dan semakin cinta dengan fisika, hehehe...
Soal nomor 1
Dua buah pelat besi diukur dengan menggunakan jangka sorong, hasilnya digambarkan sebagai berikut
Selisih tebal kedua pelat besi tersebut adalah ....
A. 0,3 mm
B. 0,6 mm
C. 0,7 mm
D. 0,8 mm
Kunci jawaban : “C”
Pembahasan :
Untuk membaca hasil pengukuran pada jangka sorong perhatikan skala utama (SU) sebelum angka nol skala nonius dan skala nonius (SN) yang berhimpit dengan skala utama. Seperti terlihat gambar berikut
Pembahasan :
Untuk membaca hasil pengukuran pada jangka sorong perhatikan skala utama (SU) sebelum angka nol skala nonius dan skala nonius (SN) yang berhimpit dengan skala utama. Seperti terlihat gambar berikut
SU = 2,4
SN = 1
Hasil pengukuran : 2,41 cm
Pada gambar 2:
SU = 2,3
SN = 4
Hasil pengukuran 2,34
Sehingga selisih tebal plat besi tersebut adalah
2,41 – 2,34 = 0,07 cm = 0,7 mm
Soal nomor 2
Sebuah benda mula-mula di titik A (0,0) kemudian bergerak
selama 2 sekon ke titik B (4,2), selanjutnya bergerak lagi selama 3 sekon ke
titik C (8,6). Kecepatan rata-rata gerak benda adalah ....
A. 1 m.s-1
B. 1,5 m.s-1
C. 2 m.s-1
D. 2√2
m.s-1
E. 4,75 m.s-1
Kunci jawaban : “C”
Pembahasan :
Ilustrasi soal:
Kecepatan benda ditentukan dengan persamaan
v = s / t
dimana s adalah perpindahan yang dialami benda.
Perpindahan merupakan jarak terpendek yang diukur dari titik awal ke titik
akhir, berdasarkan gambar diatas kita dapat menggunakan persamaan phytagoras sebagai
berikut:
s2 = 82 + 62
s = 10 m (ingat angka cantik untuk phytagoras : 6,
8, 10)
sehingga kecepatan benda adalah
Soal nomor 3
Sebuah mobil mula-mula bergerak lurus dengan
kecepatan konstan 72 km.jam-1 selama 20 sekon kemudian dipercepat
dengan percepatan 3 m.s-2 selama 10 sekon dan diperlambat dengan
perlambatan 5 m.s-2 hingga mobil berhenti. Bentuk grafik kecepatan
(v) terhadap waktu (t) perjalanan mobil tersebut adalah ....
Pembahasan :
Berdasarkan soal kita dapat mengetahui 3 gerakan yakni
Gerakan 1
Bergerak lurus dengan kecepatan konstan 72 km/jam selama
20 sekon.
Pada gerak ini, benda melakukan gerak lurus beraturan
(GLB) sehingga bentuk grafiknya berupa garis lurus selama 20 s dengan kecepatan
72 km/jam = 20 m/s
Gerakan 2
dipercepat dengan percepatan 3 m.s-2 selama 10
sekon
benda melakukan GLBB dipercepat sehingga bentuk grafiknya
naik ke atas. Hingga kecepatannya mencapai
v = v0 + at
v = 20 + 3.10
v = 50 m/s (pilihan A dan B)
Gerakan 3
diperlambat dengan perlambatan 5 m.s-2 hingga
mobil berhenti
benda melakukan GLBB diperlambat sehingga bentuk
grafiknya turun sampai nol (berhenti) dalam waktu
v = v0 – at
0 = 50 – 5 t
5t = 50
t = 10 s (pilihan B)
Soal nomor 4
Perhatikan tabel data kecepatan dari tiga benda yang
bergerak lurus berikut!
waktu
|
Kecepatan
|
||
Benda A
|
Benda B
|
Benda C
|
|
t (s)
|
v (m.s-1)
|
v (m.s-1)
|
v (m.s-1)
|
2
|
3
|
5
|
6
|
4
|
14
|
9
|
10
|
6
|
25
|
13
|
15
|
Berdasarkan tabel di
atas dapat disimpulkan bahwa benda yang mengalami percepatan terbesar dalam
selang waktu tertentu adalah ....
A. benda A untuk t =
2 s sampai t = 4 s
B. benda B untuk t
= 2 s sampai t = 4 s
C. benda B untuk t
= 4 s sampai t = 6 s
D. benda C untuk t =
2 s sampai t = 4 s
E. benda C untuk t
= 4 s sampai t = 6 s
Kunci jawaban : “A”
Pembahasan :
Tips :
Cari yang selisih kecepatan tiap waktunya paling besar. (karna
selisih waktunya sama semua)
Soal nomor 5
Perhatikan gambar !
Jari-jari roda A = 30 cm, roda B = 40 cm, roda C = 25 cm, dan roda D = 50 cm. roda B berputar dengan kecepatan anguler 50 rad.s-1, kecepatan anguler roda D adalah ....
A. 80 rad.s-1
B. 60 rad.s-1
C. 50 rad.s-1
D. 40 rad.s-1
E. 30 rad.s-1
Kunci jawaban : “E”
Pembahasan :
Roda D dan C bersinggungan ( vC = vD )
Roda C dihubungkan tali dengan roda A ( vC = vA )
Sehingga
vA = vD
ωA RA = ωD RD → Roda
A sepusat dengan roda B ( ωA = ωB )
Sehingga
ωB RA = ωD RD
50 . 30 = ωD 50
30 rad/s = ωD
baca juga :
materi fisika tingkat SMA
latihan soal fisika tingkat SMA
soal UN Fisika SMA tahun 2018 dan pembahasannya
soal UN Fisika SMA tahun 2019 dan pembahasannya
materi fisika tingkat SMA
latihan soal fisika tingkat SMA
soal UN Fisika SMA tahun 2018 dan pembahasannya
soal UN Fisika SMA tahun 2019 dan pembahasannya
Seorang pembalap mobil sedang melintasi tikungan miring
dengan sudut kemiringan θ dan jari-jarinya 12 m. Kecepatan maksimum mobil 6 m.s-1,
maka nilai tan θ adalah ....
B. 5/10
C. 3/10
D. 2/11
E. 1/12
Kunci jawaban : “C”
Pembahasan :
Gaya-gaya yang bekerja pada mobil adalah gaya
berat (w) dan gaya setripetal (Fs) yang digambarkan arah vektor gayanya sebagai
berikutBerdasarkan gambar di atas, maka wx merupakan gaya sentripetal mobil tersebut. Sehingga
Fsx = wx
Fs cos α = w sin α
mv2/R cos α =
mg sin α
v2/gR = sin α/cosα
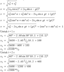
Soal nomor 7
Sebuah bola dilempar dengan sudut elevasi 300
menempuh lintasan parabola seperti terlihat pada gambar.
A. √25 :
√28 : √31
B. √25 :
√40 : √45
C. √27 :
√28 : √31
D. √28 :
√27 : √31
E. √31 :
√28 : √27
Kunci jawaban : “E”
Pembahasan :
Kecepatan terhadap sumbu x adalah vx =
v0 cos α
Kecepatan terhadap sumbu y adalah vy =
v0 sin α – gt
Sehingga kecepatan pada saat t adalah
Jurus jitu:
Semakin tinggi letak benda pada gerak parabola maka
kecepatannya akan semakin berkurang hingga akhirnya kecepatan terkecil ketika
benda berada di titik tertinggi sehingga
v1 > v2 > v3
Perhatikan pilihan jawaban yang tersedia, hanya pilihan
“E” yang memenuhi ciri itu.
Soal nomor 8
Sebuah partikel yang bergerak ke atas memenuhi persamaan y
= 8t – t2 dengan y dan t masing-masing dalam
satuan meter dan sekon. Kecepatan benda saat t = 2 sekon adalah ....
A. 2 m.s-1
B. 4 m.s-1
C. 8 m.s-1
D. 12 m.s-1
E. 16 m.s-1
Kunci jawaban : “B”
Pembahasan :
Perhatikan soalnya, karena yang ditanyakan
kecepatan “pada saat”, maka yang dimaksud adalah kecepatan sesaat partikel,
sehingga
Soal nomor 9
Sebuah balok bermassa 1 kg meluncur pada bidang
miring kasar dari keadaan diam seperti gambar,
A. 3,75 N
B. 5,75 N
C. 7,50 N
D. 9,25 N
E. 12,00 N
Kunci jawaban : “E”
Pembahasan :
Gaya-gaya yang bekerja pada sistem dapat
digambarkan sebagai berikut
v2 = v02 + 2 a s
7,52 = 0 + 2 a 3,75
7,52 = 7,5 a
7,5 m/s2 = a
Benda berhenti
ΣF = m . a
F – wx – f = m .a
F – 6 + 1,5 = 1 . 7,5
F = 7,5 – 1,5 + 6
F 12 N
Soal nomor 10
Balok A dan B dengan massa masing-masing 8 kg
dan 5 kg dihubungkan dengan tali melalui katrol seperti gambar.
A. tegangan tali
sistem menjadi lebih kecil dari semula
B. tegangan tali
sistem menjadi dua kali semula
C. sistem balok
menjadi diam
D. sistem balok
bergerak dengan percepatan setengah kali semula
E. sistem balok
bergerak dengan percepatan dua kali semula
Kunci jawaban : “C”
Pembahasan :
Gambar diagram vektor gaya pada sistem tersebut
adalah
Ingat :
Benda diam ketika gaya gesek statis (fs) > gaya luar
Benda bergerak ketika gaya gesek statis (fs) < gaya luar, dan gaya gesek
yang bekerja adalah gaya gesek kinetis (fk)
Pada dasarnya yang menarik benda A adalah benda B sehingga sistem akan
bergerak ketika wB > fs.
Dimana
wB = mB g
wB = 5 . 10
wB = 50 N
Ketika benda C belum ditambahkan
fs = μs .
N
fs = μs .
mA . g
fs = 0,5 . 8
. 10
fs = 0,5 . 8
. 10
karena wB > fs, jadi benda sistem bergerak
Setelah benda C ditambahkan
fs = μs .
N
fs = μs .
(mA + mC) . g
fs = 0,5 .
(8 + 4) . 10
fs = 0,5 .
12 . 10
fs = 60 N
karena wB < fs ,jadi sistem diam (tidak bergerak)

























Tidak ada komentar:
Posting Komentar