Tampilkan postingan dengan label soal latihan kelas 11. Tampilkan semua postingan
Tampilkan postingan dengan label soal latihan kelas 11. Tampilkan semua postingan

Efek Doppler - Soal dan Pembahasan Lengkap



Efek Doppler - Soal dan pembahasan lengkap, kami sajikan dalam rangka agar para pembaca dapat lebih memahami  materi efek doppler dengan lebih baik. pembahasan yang dilakukan dalam artikel ini kami tulis sendiri dengan menggunakan cara sendiri yang mana kami melakukan perhitungan secara sederhana karena soal - soal yang ada kami ambil dari soal - soal tes seperti ujian nasional, sbmptn, ataupun soal tes-tes yang lain. silahkan menikmati 

Soal Nomor 1(UN 2019)
Mobil polisi bergerak dengan kecepatan 72 km/jam sambil membunyikan sirine berfrekuensi 1.400 Hz. Di belakang mobil polisi terdapat pengendara sepeda motor yang bergerak dengan kecepatan 54 km/jam searah dengan mobil polisi. Cepat rambat bunyi di udara saati itu 330 m.s-1, maka besar frekuensi sirine mobil polisi yang didengar pengendara sepeda motor adalah ....
A. 1.240 Hz
B. 1.380 Hz
C. 1.420 Hz
D. 1.450 Hz
E. 1.558 Hz
Share:

Soal Fisika : Besaran dan Pengkuran (Full Pembahasan)

Untuk lebih memahami materi tentang besaran dan pengukuran yang dipelajari di kelas 10 pada kesempatan kali ini kami akan memaparkan beberapa soal. Soal – soal yang ada di bawah ini sudah disertai pembahasannya dan dihimpun dari berbagai sumber. Selamat menikmati

Soal nomor 1
Notasi ilmiah dari bilangan 0,000 000 022 348 adalah ....
A. 22,348 x 10-9
B. 22,348 x 10-10
C. 2,23 x 10-5
D. 2,2348 x 10-8
E. 2,2348 x 10-9
Kunci jawaban: "D"

pembahasan soal nomor 1:

Bilangan pokok untuk menuliskan notasi ilmiah adalah antara 1 – 9,999. Sehingga angka di atas jika di tulis menggunakan notasi ilmiah memiliki bilangan pokok 2,2348 dengan tanda koma bergeser ke kanan (semakin berkurang pangkatnya) sebanyak 8 langkah. Jadi penulisan notasi ilmiahnya yang benar adalah 2,2348 x 10-8

Soal nomor 2
Panjang sebatang paku diukur dengan jangka sorong adalah 58,80 mm. Hasil pengukuran tersebut ditulis dengan sistem eksponensial (notasi ilmiah) adalah ....
A. 5,890 x 101 mm
B. 5,89 x 101 mm
C. 5,9 x 101 mm
D. 5,890 x 102 mm
E. 5,89 x 102 mm
Kunci jawaban: "B"

pembahasan soal nomor 2:

Bilangan pokok untuk menuliskan notasi ilmiah adalah antara 1 – 9,999. Sehingga angka di atas jika di tulis menggunakan notasi ilmiah memiliki bilangan pokok 5,880 dengan tanda koma bergeser ke kiri (semakin bertambah pangkatnya) sebanyak 1 langkah. Jadi penulisan notasi ilmiah yang benar adalah 5,880 x 101 mm = 5,89 x 101 mm (memiliki 2 angka di belakang tanda koma)

Soal nomor 3
Dua buah pelat besi diukur dengan menggunakan jangka sorong, hasilnya digambarkan sebagai berikut:

Soal Fisika : Besaran dan Pengkuran (Full Pembahasan)

Selisih tebal kedua pelat besi tersebut adalah ....
A. 0,3 mm
B. 0,6 mm
C. 0,7 mm
D. 0,8 mm
E. 1,7 mm
Kunci jawaban: "C"

pembahasan soal nomor 3:

Membaca hasil pengukuran jangka sorong, perlu diperhatikan Skala Utama (SU) dan Skala Nonius (SN) seperti gambar berikut :

Soal Fisika : Besaran dan Pengkuran (Full Pembahasan)

Gambar 1
Pembacaan Skala Utama = 2,4 cm
Pembacaan Skala Nonius = 1 x 0,01 = 0,01 cm
Hasil pengukuran = 2,4 + 0,01
H1 = 2,41 cm
Gambar 2
Pembacaan Skala Utama = 2,3 cm
Pembacaan Skala Nonius = 4 x 0,01 = 0,04 cm
Hasil pengukuran = 2,3 + 0,04
H2 = 2,34 cm
Selisih hasil pengukuran
∆H = 2,41 – 2,34
∆H = 0,07 cm
∆H = 0,7 mm

Soal nomor 4
Pada saat melakukan pengukuran dengan menggunakan jangka sorong, seorang siswa mengukur dimensi balok tinggi, dan lebar dengan hasil pengukuran sebagai berikut:

Soal Fisika : Besaran dan Pengkuran (Full Pembahasan)

Volume balok tersebut sesuai kaidah angka penting adalah ....
A. 176 cm3
B. 176,0 cm3
C. 176,2 cm3
D. 176,28 cm3
E. 176,282960 cm3
Kunci jawaban: "A"

pembahasan soal nomor 4:

Sama dengan soal sebelumnya, Membaca hasil pengukuran jangka sorong, perlu diperhatikan Skala Utama (warna merah) dan Skala Nonius (warna biru) seperti gambar berikut :

Soal Fisika : Besaran dan Pengkuran (Full Pembahasan)

Gambar kiri
Pembacaan Skala Utama = 4,2 cm
Pembacaan Skala Nonius = 9 x 0,01 = 0,09 cm
Hasil pengukuran = 4,2 + 0,09
H1 = 4,29 cm (3 angka penting)
Gambar tengah
Pembacaan Skala Utama = 5,6 cm
Pembacaan Skala Nonius = 6 x 0,01 = 0,06 cm
Hasil pengukuran = 5,6 + 0,06
H2 = 5,66 cm (3 angka penting)
Gambar kanan
Pembacaan Skala Utama = 7,2 cm
Pembacaan Skala Nonius = 6 x 0,01 = 0,06 cm
Hasil pengukuran = 7,2 + 0,06
H3 = 7,26 cm (3 angka penting)
Sehingga volume dari balok tersebut dapat ditentukan sebagai berikut:
V = 4,29 x 5,66 x 7,26
Hasil perkaliannya harus terdiri dari 3 angka penting, sehingga tanpa mengetahui hasil perhitungannya, kita dapat mengetahui bahwa pilihan yang terdiri dari 3 angka penting hanya pilihan A

Soal nomor 5
Gambar sekelompok siswa melakukan percobaan gotri menggunakan mikrometer sekrup seperti gambar berikut ini maka hasil pengukuran yang dilakukan siswa adalah ....

Soal Fisika : Besaran dan Pengkuran (Full Pembahasan)

Besaran Hasil
A. Jari-jari 9,40 mm
B. Diameter 9,40 mm
C. Lebar 9,54 mm
D. Jari-jari 9,54 mm
E. Diameter 9,90 mm
Kunci jawaban: "E"
pembahasan soal nomor 5:

Perhatikan bahwa yang diukur adalah gotri (berbentuk bulat) sehingga jelas mikrometer tersebut mengukur diameter dari gotri (perhatikan pilihan B dan E). untuk menentukan hasil pengukuran mikrometer perhatikan skala utama (warna merah) dan skala putar (warna biru) seperti pada gambar berikut:

Soal Fisika : Besaran dan Pengkuran (Full Pembahasan)

Skala utama = 9,5 mm
Skala putar = 40 x 0,01 = 0,4 mm
Hasil pengukuran = 9,5 + 0,4
Hasil = 9,9 mm

Soal nomor 6
Hasil pengukuran ketebalan sebuah pelat kayu tipis dengan menggunakan mikrometer sekrup sebesar 2,92 mm. Gambar di bawah ini yang menunjukkan hasil pengukuran tersebut adalah ....

Soal Fisika : Besaran dan Pengkuran (Full Pembahasan)

Kunci jawaban: "B"

pembahasan soal nomor 6:

Hasil pengukuran 2,92 mm, itu merupakan penjumlahan dari 2,5 + 4,2 dimana 2,5 adalah skala utama dan 4,2 merupakan skala putar. Dari skala putarnya maka kita dapat mengetahui bahwa hanya jawaban B dan D , dan dari skala utamanya jawaban yang benar hanya B

Soal nomor 7
Hasil pengukuran diameter pipa kecil dengan menggunakan mikrometer sekrup ditunjukkan gambar di bawah ini. Hasil pengukurannya adalah ....

Soal Fisika : Besaran dan Pengkuran (Full Pembahasan)

A. 7,50 mm
B. 7,55 mm
C. 7,75 mm
D. 7,90 mm
E. 8,00 mm
Kunci jawaban: "C"

pembahasan soal nomor 7:

Soal Fisika : Besaran dan Pengkuran (Full Pembahasan)

Hasil pengukuran : SU + SP Hasil pengukuran : 7,5 + (25 x 0,01) Hasil pengukuran : 7,5 + (0,25 ) Hasil pengukuran : 7,75 mm

Soal nomor 8
Suppose speed of light (c), force (F) and kinetic energi (K) are taken as the fundamental units, then the dimensional formula for mass will be...
A. [Kc-2]
B. [cK-2]
C. [KF-2]
D. [Fc-2]
Kunci jawaban: "A"

pembahasan soal nomor 8:

Berdasarkan soal diketahui
Kecepatan cahaya (c) satuannya m.s-1 dimensinya [LT-1]
Gaya (F) satuannya N atau kgm.s-2 dimensinya [MLT-2]
Energi kinetik (K) satuannya J atau kgm2s-2 dimensinya [ML2T-2]
Persamaan massa?
Dengan menggunakan analisis dimensi kita dapat menuliskan persamaan umumnya yakni
m = kcxFyKz
dimana k adalah konstanta dimensi,
[M] = [LT-1]x [MLT-2]y [ML2T-2]z
[M] = [M]y+z [L]x+y+2z [T]-x-2y-2z
Dari persamaan di atas kita dapat menulis
y + z = 1 ... (1)
x + y + 2z = 0 ... (2)
–x – 2y – 2z = 0 ... (3)
Dengan menambahkan persamaan (2) dan (3) kita dapatkan
y = 0
sehingga
z = 1
x = -2
maka persamaan umumnya menjadi
m = kcxFyKz
m = [Kc-2]

Soal nomor 9
The dimension of magnetic flux is ....
A. MLT-1A-1
B. ML-1TA-2
C. ML-2T-2A-2
D. ML-2T-2A-1
Kunci jawaban: "D"

pembahasan soal nomor 9:

Persamaan fluks magnetik adalah
ϕ = B x A
ϕ = T x m2 → (T = kgA-1s-1)
ϕ = kgA-1s-2 m2
jadi dimensi dari fluks magnetik adalah
ϕ = [M][L]2[T]-2[A]-1

Soal nomor 10
If dimensions of length are expressed as Gx cy hz, where G, c, and h are the universal gravitational constant, speed of light and Planck’s constant respectively, then
A. x = 1/2, y = 1/2, z = 1/2
B. x = 1/2, y = -3/2, z = 1/2
C. x = 3/2, y = 1/2, z = ½
D. x = -1/2, y = -1/2, z = -1/2
Kunci jawaban: "B"

pembahasan soal nomor 10:

berdasarkan soal dapat diketahui
“G” adalah konstanta umum gravitasi dengan satuan m3 kg-1 s-2 dan dimensinya [L3M-1T-2]
“c” adalah cepat rambat cahaya dengan satuan ms-1 dan dimensinya [LT-1]
“h” adalah konstanta planck dengan satuan kgm2s-1 dan dimensinya [ML2T-1]
Dengan menggunakan analisis dimensi kita dapat menuliskan persamaan umum panjang (L) sebagai berikut
L = kGxcyhz
Dimana k adalah konstanta dimensi,
[L] = [L3M-1T-2]x [LT-1]y [ML2T-1]z
[L] = [L]3x+y+2z [M]-x+z [T]-2x-y-z
Dari persamaan di atas kita dapat menuliskan
3x + y + 2z = 1 ... (1)
-x + z = 0 ... (2)
-2x – y – z = 0 ...(3)
Berdasarkan persamaan (2) kita dapatkan bahwa
x = z ... (4)
jika kita jumlahkan persamaan (1) dan (3) kita dapatkan
x + z = 1 ... (5)
maka
x + x = 1
2x = 1
x = ½
z = ½
y = -3/2

Soal nomor 11
The dimensions of a/b in the equation P = (a – t2)/bx, where P is pressure, x is distance and t is time are ....
A. [M2LT-3]
B. [ML0T-2]
C. [ML3T-1]
D. [M0LT-3]
Kunci jawaban: "B"

pembahasan soal nomor 11:

Berdasarkan soal maka dapat diketahui
“P” adalah tekanan dengan satuan kg m-1 s-2 dan dimensi [M][L]-1[T]-2
“x” adalah jarak dengan satuan m dan dimensi [L]
“t” adalah waktu dengan satuan s dan dimensi [T]
Perhatikan persamaan
P = (a – t2) / bx
Karena “a” dikurangi dengan t2, maka besaran “a” memiliki satuan yang sama dengan satuan t2 yang memiliki dimensi [T]2
(ingat, agar besaran bisa dikurangi atau dijumlahkan satuannya atau dimensinya harus sama)
Sehingga kita dapat menentukan dimensi dari “b” dengan melakukan analisis dimensi pada persamaan tersebut seperti berikut

Soal Fisika : Besaran dan Pengkuran (Full Pembahasan)

Soal nomor 12
The mass of a block is 87,2 g and its volume is 25 cm3. Its denstity upto correct significant figure is ...
A. 3,488 g.cm-3
B. 3,48 g.cm-3
C. 3,5 g.cm-3
D. 3,4 g.cm-3
Kunci jawaban: "C"

pembahasan soal nomor 12:

Berdasarkan soal dapat diketahui
m = 87,2 g (3 angka penting)
V = 25 cm3 (2 angka penting)
Massa jenis (ρ) ... ?
ρ = m : V
ρ = 87,2 : 25
ρ = 3,488 g/cm3
untuk perkalian dan pembagian sesuai dengan aturan angka penting, maka hasilnya mengikuti jumlah angka penting yang paling sedikit (2 angka penting), sehingga hasil perhitungan massa jenis di atas ditulis dalam 2 angka penting manjadi
ρ = 3,5 g/cm3

Share:

Latihan Soal Interferensi Cahaya Pada Celah Ganda| Fisika Kelas 11

Untuk lebih memahami interferensi celah ganda gelombang cahaya yang dipelajari di kelas 11 pada kesempatan kali ini kami akan memaparkan beberapa soal. Soal – soal yang ada di bawah ini sudah disertai pembahasannya dan dihimpun dari berbagai sumber. Selamat menikmati

Soal nomor 1
Pada percobaan Young digunakan 2 celah sempit yang berjarak 2 mm satu sama lain dan layar dipasang 1 m dari celah tersebut. Jika dihasilkan terang ke dua pada jarak 0,5 mm dari terang pusat, maka panjang gelombang cahaya yang digunakan adalah ....
A. 2,5 x 10-7 m
B. 3,3 x 10-7 m
C. 5,0 x 10-7 m
D. 1,0 x 10-6 m
E. 5,0 x 10-6 m
Kunci jawaban: "C"

pembahasan soal nomor 1:

Berdasarkan soal dapat diketahui
d = 2 mm = 2 . 10-3 m
R = 1 m
m = 2
y = 0,5 mm = 5 . 10-4 m
λ .... ?
dy/R = mλ
dy = mλR
2 . 10-3 x 5 . 10-4 = 2 λ 1
λ = 5 . 10-7 m

Soal nomor 2
Seberkas cahaya monokromatis dijatuhkan pada dua celah sempit vertical berdekatan dengan jarak d = 0,01 mm. Pola interferensi yang terjadi ditangkap pada jarak 20 cm dari celah. Diketahui bahwa jarak antar garis gelap pertama di sebelah kiri dan kanan adalah 7,2 mm. Panjang gelombang berkas cahaya ....
A. 180 mm
B. 270 mm
C. 360 mm
D. 720 mm
E. 1800 mm
Kunci jawaban: "C"

pembahasan soal nomor 2:

Berdasarkan soal dapat diketahui
d = 0,01 mm = 10-5 m
R = 20 cm = 2 . 10-1 m
Jarak gelap pertama di sebelah kiri dan kanan = 7,2 mm = 7,2 . 10-3 m
λ ... ?
jarak antara gelap di sebelah kiri dan gelap di sebelah kanan sama dengan jarak antar gelap yang berdekatan (1 frinji), sehingga kita dapat menggunakan persamaan, Untuk lebih memahami materi tentang frinji, silahkan dibaca “Mengenal frinji pada interferensi celah ganda (Gelombang Cahaya)”.
Latihan Soal Interferensi Cahaya Pada Celah Ganda| Fisika Kelas 11

Soal nomor 3
Latihan Soal Interferensi Cahaya Pada Celah Ganda| Fisika Kelas 11
Gambar di samping menunjukkan percobaan Young dengan d adalah jarak antar celah dan P3 adalah garis terang orde 3. Jika panjang gelombang yang digunakan adalah 600 nm (1 nm = 10-9 m), jarak antar celah adalah ....
A. 1,6 x 10-1 mm
B. 1,6 x 10-2 mm
C. 3,0 x 10-3 mm
D. 1,6 x 10-3 mm
E. 2,0 x 10-3 mm
Kunci jawaban: "C"

pembahasan soal nomor 3:

Berdasarkan soal dapat diketahui
λ = 600 nm = 6 . 10-7 m
m = 3
θ = 37o
d ... ?
untuk menyelesaikan soal ini kita dapat menggunakan persamaan
d sin θ = m λ
d sin 37o = 3 . 6 10-7
d . 0,6 = 3 . 6 . 10-7
d = 3 . 10-6 m
d = 3 . 10-3 mm

Soal nomor 4
Sebuah sumber cahaya memancarkan cahaya tampak dalam dua macam panjang gelombang, yaitu λ = 420 nm dan λ’ = 560 nm. Sumber cahaya ini digunakan dalam interferensi celah rangkap dengan jarak antar celah 0,025 mm dan jarak celah ke layar 2 m. Jarak antara kedua cahaya tersebut pada pita terang keempat adalah ....
A. 2,4 cm
B. 4,48 cm
C. 7,7 cm
D. 9,2 cm
E. 17 cm
Kunci jawaban: "B"

pembahasan soal nomor 4:

Berdasarkan soal dapat diketahui
λ = 420 nm = 4,2 . 10-7 m
λ’ = 560 nm = 5,6 . 10-7 m
d = 0,025 mm = 2,5 . 10-5 m
R = 2 m
m = 4
∆y ... ?
Dari persamaan
dy/R = mλ
y = mλR/d
kita dapat menuliskan
Latihan Soal Interferensi Cahaya Pada Celah Ganda| Fisika Kelas 11

Soal nomor 5
Seberkas cahaya yang terdiri dari dua panjang gelombang 5200 Å dan 6500 Å digunakan untuk menghasilkan pita-pita interferensi dalam percobaan Young. Berapakah jarak terpendek dari terang pusat di mana pita terang yang dihasilkan kedua gelombang berhimpit? Jarak antara celah adalah 2,00 mm dan jarak antara bidang celah dan layar adalah 120 cm
A. 2,16 mm
B. 1,56 mm
C. 1,30 mm
D. 0,65 mm
E. 0,52 mm
Kunci jawaban: "B"

pembahasan soal nomor 5:

Berdasarkan soal dapat diketahui
λ1 = 5200 Å = 5,2 . 10-4 mm
λ2 = 6500 Å = 6,5 . 10-4 mm
d = 2,00 mm
R = 120 cm = 1,2 . 103 mm
Pita terang kedua cahaya berhimpit artinya y1 = y2
y ... ?
Latihan Soal Interferensi Cahaya Pada Celah Ganda| Fisika Kelas 11
hasil di atas menunjukkan bahwa pita terang kedua panjang gelombang berhimpit saat pita terang cahaya pertama memiliki orde 4 dan pita terang cahaya kedua memiliki orde 5, sehingga jarak terpendeknya dapat ditentukan dengan cara
Latihan Soal Interferensi Cahaya Pada Celah Ganda| Fisika Kelas 11

Soal nomor 6
Dalam sebuah percobaan celah ganda, kita dapat meningkatkan jarak antarfrinji terang pada pola interferensi yang tampak pada layar dengan ....
A. Menggunakan cahaya dengan panjang gelombang lebih pendek
B. Menggeser layar mendekati celah ganda
C. Menggeser celah saling mendekati
D. Menggunakan cahaya dengan cepat rambat yang lebih rendah
E. Menggunakan cahaya dengan intensitas lebih kuat
Kunci jawaban: "C"

pembahasan soal nomor 6:

Berdasarkan persamaan
Latihan Soal Interferensi Cahaya Pada Celah Ganda| Fisika Kelas 11
Berdasarkan persamaan di atas, maka kita dapat mengetahui bahwa lebar frinji

  1. Sebanding dengan jarak celah ke layar (R)
  2. Sebanding dengan Orde pita yang terbentuk (m)
  3. Sebanding dengan panjang gelombang (λ)
  4. Berbanding terbalik dengan jarak dua celah (d)
Jadi untuk meningkatkan jarak antar frinji (y) dapat dilakukan dengan cara
  1. Memperpanjang jarak celah ke layar (R)
  2. Semakin besar orde pita (m)
  3. Semakin besar panjang gelombang yang digunakan
  4. Semakin kecil jarak kedua celah
Jadi jawaban yang tepat untuk soal ini adalah “C”
Menggeser celah saling mendekati

Soal nomor 7(UTBK 2017 kode 150)
Pada suatu percobaan Young digunakan dua celah yang jarak antara keduanya 0,06 mm. Jika layar diletakkan sejauh 3 m dari celah dan panjang gelombang cahaya yang digunakan 600 nm, maka pernyataan-pernyataan di bawah ini yang benar adalah ....
(1) Percobaan di atas memperlihatkan diferensi cahaya
(2) Jarak pita terang ke 4 adalah 12,0 cm dari pusat
(3) Gelombang di atas merupakan gelombang elektromagnetik
(4) Jarak antara dua pita terang yang berurutan adalah 3,0cm
A. Jika jawaban (1), (2), dan (3) benar
B. Jika jawaban (1) dan (3) benar
C. Jika jawaban (2) dan (4) benar
D. Jika jawaban (4) saja yang benar
E. Jika semua jawaban benar
Kunci jawaban: "C"

pembahasan soal nomor 7:

Berdasarkan soal dapat diketahui
d = 0,06 mm = 6 . 10-3 cm
R = 3 m = 3 . 102 cm
λ = 600 nm = 6 . 10-5 cm
karena disebutkan digunakan dua celah maka, percobaan tersebut merupakan percobaan interferensi cahaya (pernyataan (1) salah)
untuk m = 4,
y = mRλ/d
y = 4 . 3 . 102 . 6 . 10-5 / 6 . 10-3
y = 12 cm (pernyataan (2) benar)
karena pernyataan (1) salah dan pernyataan (2) benar maka pilihan yang paling mungkin adalah “C”

Soal nomor 8
Dua puluh pola gelap terang interferensi menyebar 4 cm pada layar yang jaraknya 50 cm dari dua celah yang jaraknya 0,01 cm, besar panjang gelombang yang melewati celah adalah ....
A. 50 nm
B. 100 nm
C. 300 nm
D. 400 nm
E. 500 nm
Kunci jawaban: "D"

pembahasan soal nomor 8:

Berdasarkan soal dapat diketahui
m = 20
ytot = 4 cm = 4 . 107 nm
R = 50 cm = 5 . 108 nm
d = 0,01 cm = 105 nm
λ ... ?
untuk 20 pola gelap terang lebarnya 4 cm, maka untuk satu pola gelap terang yang berdekatan adalah 0,2 cm (½ ∆y = 0,2 cm = 2 . 106 nm)
Latihan Soal Interferensi Cahaya Pada Celah Ganda| Fisika Kelas 11

Soal nomor 9
Pada percobaan celah ganda dengan jarak antar celah 1 mm dan layar yang berjarak 1 meter dari celah. Jika panjang gelombang yang digunakan adalah 6000 Å, maka jarak terdekat antara garis gelap kedua dengan garis terang keempat adalah ....
A. 0,9 mm
B. 1,5 mm
C. 1,8 mm
D. 9 mm
E. 15 mm
Kunci jawaban: "B"

pembahasan soal nomor 9:

Berdasarkan soal dapat diketahui
d = 1 mm
R = 1 m = 103 mm
λ = 6000 Å = 6 . 10-4 mm
jika jarak antara gelap dan terang yang berdekatan kita sebut ½ ∆y, maka dari gelap kedua ke garis terang keempat ada 5 . ½ ∆y, seperti terlihat pada gambar berikut
Latihan Soal Interferensi Cahaya Pada Celah Ganda| Fisika Kelas 11
Sehingga persamaannya menjadi
Latihan Soal Interferensi Cahaya Pada Celah Ganda| Fisika Kelas 11

Soal nomor 10
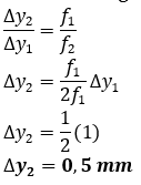
Dalam percobaan celah ganda Young, jarak pisah antara kedua celah dijadikan setengah kali dan jarak antara celah dan layar dijadikan dua kali semula. jarak antara dua pita terang yang berdekatan adalah ....
A. Seperempat kali
B. Setengah kali
C. Tidak berubah
D. Dua kali
E. Empat kali
Kunci jawaban: "E"

pembahasan soal nomor 10:

Berdasarkan soal dapat diketahui
d2 = ½ d1
R2 = 2 R1
∆y2 = ... ∆y1
Berdasarkan persamaan
Latihan Soal Interferensi Cahaya Pada Celah Ganda| Fisika Kelas 11
Maka kita dapat mengetahui bahwa
Jarak dua pita terang berdekatan sebanding dengan jarak celah ke layar dan berbanding terbalik dengan jarak dua celah, sehingga kita dapat menuliskan persamaan perbandingannya
Latihan Soal Interferensi Cahaya Pada Celah Ganda| Fisika Kelas 11

Soal nomor 11
Cahaya laser dikenakan pada pasangan celah sangat sempit yang terpisah 0,5 µm. Pola terang hasil interferensi, terbentuk di layar terpisah sejauh 1,0 mm. Bila frekuensi laser dijadikan dua kali, jarak pisah antar pola terang yang terbentuk pada layar menjadi …
A. 0,25 mm
B. 0,5 mm
C. 1,0 mm
D. 2,0 mm
E. 2,5 mm
Kunci jawaban: "B"

pembahasan soal nomor 11:

Berdasarkan soal dapat diketahui
d = 0,5 μm = 5 . 10-4 mm
∆y1 = 1 mm
f2 = 2f1
persamaan untuk pola terang interferensi adalah
Latihan Soal Interferensi Cahaya Pada Celah Ganda| Fisika Kelas 11
Berdasarkan persamaan di atas, kita bisa melihat bahwa ,Jarak antar terang berbanding terbalik dengan frekuensi, sehingga kita dapat menuliskan persamaan perbandingannya
Latihan Soal Interferensi Cahaya Pada Celah Ganda| Fisika Kelas 11

Soal nomor 12
Jika panjang gelombang cahaya yang digunakan pada percobaan Young digandakan, maka jarak antarpola terang yang berurutan menjadi setengah kalinya
SEBAB
Interferensi maksimum pada percobaan Young terjadi jika beda panjang lintasan gelombang cahaya merupakan kelipatan bulat panjang gelombangnya
A. Jika pernyataan benar, alasan benar, kedua menunjukkan hubungan sebab akibat
B. Jika pernyataan benar, alasan benar, tetapi keduanya tidak menunjukkan hubungan sebab akibat
C. Jika pernyataan benar, alasan salah
D. Jika pernyataan salah, alasan benar
E. Jika pernyataan dan alasan, keduanya salah
Kunci jawaban: "D"

pembahasan soal nomor 12:

Berdasarkan persamaan
Latihan Soal Interferensi Cahaya Pada Celah Ganda| Fisika Kelas 11
Maka, panjang gelombang sebanding dengan jarak antarpola terang yang berdekatan, sehingga jika panjang gelombang digandakan maka jarak antar pola terangnya juga digandakan (pernyataan salah)
Pola terang pada interferensi akan terbentuk jika yang terjadi adalah interferensi konstruktif atau kelipatan bilangan bulat dari panjang gelombangnya (alasan benar)

Soal nomor 13
The maximum number of possible interference maxima for slit separation equal to twice the wavelength in Young's double slit experiment is....
A. Infinite
B. Three
C. Five
D. Zero
Kunci jawaban: "C"

pembahasan soal nomor 13:

Berdasarkan soal dapat diketahui
d = 2λ
Interferensi maksimum dapat ditentukan dengan persamaan
d sin θ = mλ
2λ sin θ = mλ
2 sin θ = m
(nilai maksimum dari sin θ = 1)
m = 2
artinya orde maksimum dari pola terang adalah terang kedua, sehingga jumlah maksimal pola terang yang terbentuk adalah 0, ±1, ±2
Ada lima buah (tanda ± berarti ada dua pola terang yakni sebelah kiri terang pusat dan sebelah kanan terang pusat)

Soal nomor 14

Latihan Soal Interferensi Cahaya Pada Celah Ganda| Fisika Kelas 11
A Young’s double slit interference arrangement with slits S1 and S2 is immersed in water (refractive index = 4/3) as shown in the figure. The positions of maxima on the surface of water are given by x2 = p2m2λ2 – d2, where l is the wavelength of light in air (refractive index = 1), 2d is the separation between the slits and m is an integer. The value of p is ....

pembahasan soal nomor 14:

Gambar di atas, dapat kita lukis ulang sebagai berikut

Latihan Soal Interferensi Cahaya Pada Celah Ganda| Fisika Kelas 11

Berdasarkan gambar di atas kita dapat menuliskan
Latihan Soal Interferensi Cahaya Pada Celah Ganda| Fisika Kelas 11
Interferensi maksimum pada titik P akan terjadi jika ∆x = mλ
Dari kedua persamaan tersebut kita dapat menggabungkannya seperti berikut
Latihan Soal Interferensi Cahaya Pada Celah Ganda| Fisika Kelas 11

Soal nomor 15
If the ratio of maximum and minimum intensities of an interference pattern is 36 : 1, then the ratio of amplitudes of the two interfering waves will be
A. 3 : 7
B. 4 : 7
C. 7 : 4
D. 7 : 5
Kunci jawaban: "D"

pembahasan soal nomor 15:

Berdasarkan soal dapat diketahui
Imax : Imin = 36 : 1
Hubungan antara intensitas gelombang dan amplitudo dapat ditentukan sebagai berikut
Latihan Soal Interferensi Cahaya Pada Celah Ganda| Fisika Kelas 11
Pada persamaan di atas, terlihat bahwa Intensitas sebanding dengan kuadrat amplitudonya. Perlu diperhatikan bahwa

  • intensitas maksimum (terang) akan terjadi jika amplitudonya saling menguatkan (interferensi konstruktif)
  • intensitas minimum (gelap) akan terjadi jika amplitudonya saling melemahkan (interferensi destruktif)
Sehingga kita bisa menuliskan persamaan perbandingannya sebagai berikut
Latihan Soal Interferensi Cahaya Pada Celah Ganda| Fisika Kelas 11

Demikian beberapa soal dan pembahasan tentang interferensi cahaya pada celah ganda (materi fisika kelas 11) semoga dapat memberikan manfaat bagi para pembaca sekalian.
Share:

Soal dan pembahasan : Impuls dan Momentum | Fisika kelas 10 (part 2)

Impuls dan momentum merupakan salah satu materi yang ada di kelas 10 semester 1, materi ini sebenarnya tidak terlalu sulit untuk dipahami karena berkaitan dengan kehidupan sehari – hari sehingga dapat diilustrasikan. Untuk materi impuls dan momentum sudah pernah saya tulis, silahkan di baca disini. Pada kesempatan kali ini saya akan membahas beberapa soal tentang impuls dan momentum yang disertai dengan pembahasan dan tips untuk mengerjakan soal. Soal latihan ini saya tulis menjadi 2 bagian dan ini adalah soal dan pembahasan impuls momentum bagian 2, selamat menikmati.

Share:

Latihan soal dan pembahasan | Gelombang Bunyi (PART 3)

Pada kesempatan kali ini, kita akan membahas latihan soal tentang gelombang bunyi, materi ini cukup panjang dengan banyak variasi soal, oleh sebab itu latihan soal gelombang tulis akan saya tulis dalam 3 bagian.Pada bagian ini kita akan membahas latihan soal sub bab resonansi pada pipa organa, intensitas bunyi, dan taraf intensitas bunyi, Untuk mempermudah dalam menganalisis soal tentang gelombang bunyi beberapa pengetahuan dasar yang perlu dipahami antara lain adalah : gambar gelombang transversal, persamaan gelombang bunyi, efek doppler, serta kemampuan matematika dasar seperti perkalian silang, trigonometri, bentuk pecahan. Jika masih kurang memahami, jangan khawatir karna dalam pembahasan latihan soal dinamika partikel ini menggunakan teknik – teknik yang mudah dipahami. Selamat menikmati

Share:

Latihan soal dan pembahasan | Gelombang Bunyi (PART 2)

Pada kesempatan kali ini, kita akan membahas latihan soal tentang gelombang bunyi, materi ini cukup panjang dengan banyak variasi soal, oleh sebab itu latihan soal gelombang tulis akan saya tulis dalam 3 bagian.Pada bagian ini kita akan membahas latihan soal sub bab efek doppler dan frekuensi resonansi pada dawai, Untuk mempermudah dalam menganalisis soal tentang gelombang bunyi beberapa pengetahuan dasar yang perlu dipahami antara lain adalah : gambar gelombang transversal, persamaan gelombang bunyi, efek doppler, serta kemampuan matematika dasar seperti perkalian silang, trigonometri, bentuk pecahan. Jika masih kurang memahami, jangan khawatir karna dalam pembahasan latihan soal dinamika partikel ini menggunakan teknik – teknik yang mudah dipahami. Selamat menikmati

Share:

Latihan soal dan pembahasan | Gelombang Bunyi (PART 1)

Pada kesempatan kali ini, kita akan membahas latihan soal tentang gelombang bunyi, materi ini cukup panjang dengan banyak variasi soal, oleh sebab itu latihan soal gelombang tulis akan saya tulis dalam 3 bagian. Untuk mempermudah dalam menganalisis soal tentang gelombang bunyi beberapa pengetahuan dasar yang perlu dipahami antara lain adalah : gambar gelombang transversal, persamaan gelombang bunyi, efek doppler, serta kemampuan matematika dasar seperti perkalian silang, trigonometri, bentuk pecahan. Jika masih kurang memahami, jangan khawatir karna dalam pembahasan latihan soal dinamika partikel ini menggunakan teknik – teknik yang mudah dipahami. Selamat menikmati

Share:

Pembahasan Latihan Soal | Dinamika Partikel - Part 1 (Fisika Kelas X)

Pada kesempatan kali ini, kita akan membahas latihan soal tentang dinamika partikel, materi ini cukup panjang dengan banyak variasi soal, oleh sebab itu latihan soal dinamika partikel akan saya tulis dalam 2 bagian. Untuk mempermudah dalam menganalisis soal tentang dinamika partikel beberapa pengetahuan dasar yang perlu dipahami antara lain adalah : cara menggambar gaya, resultan gaya, serta kemampuan matematika dasar seperti perkalian silang, trigonometri, bentuk pecahan. Jika masih kurang memahami, jangan khawatir karna dalam pembahasan latihan soal dinamika partikel ini menggunakan teknik – teknik yang mudah dipahami. Selamat menikmati

Soal nomor 1

Sebuah batu bata meluncur di atas lantai kayu dan menabrak sebuah peti. Keduanya bergerak bersama-sama ke kanan dan secara berangsur diperlambat.
(1) Dorongan batu bata pada peti lebih besar daripada dorongan peti pada batu-bata
(2) Dorongan batu-bata pada peti lebih kecil daripada dorongan peti pada batu bata
(3) Dorongan batu bata pada peti sama dengan dorongan peti pada batu data
Pernyataan yang tepat sesuai dengan peristiwa tersebut ditunjukkan oleh nomor
Share:

Latihan soal dan pembahasan lengkap : Fluida Dinamis (materi Fisika kelas 11)

Fluida dinamis merupakan salah satu materi fisika yang dipelajari di kelas 11 semester 1, oleh karena itu disini saya mencoba untuk membuat latihan soal materi Fluida dinamis lengkap dengan pembahasannya secara terperinci, bisa dijadikan latihan untuk para siswa agar lebih memahami materi fluida dinamis atau referensi oleh guru dalam membuat soal ulangan. Soal yang disajikan memiliki banyak tipe soal yang diambil dari soal-soal ujian masuk atau UN sehingga cocok untuk dibuat belajar menjelang ulangan harian atau akan mengikuti tes. Selamat menikmati

Share:

Latihan soal dan pembahasan : Suhu dan Pemuaian (materi fisika kelas 11)

Suhu dan pemuaian merupakan salah satu materi fisika yang dipelajari di kelas 11 semester 1, oleh karena itu disini saya mencoba untuk membuat latihan soal materi suhu dan pemuaian lengkap dengan pembahasannya secara terperinci, bisa dijadikan latihan untuk para siswa agar lebih memahami materi medan magnet atau referensi oleh guru dalam membuat soal ulangan. Soal yang disajikan memiliki banyak tipe soal yang diambil dari soal-soal ujian masuk atau UN sehingga cocok untuk dibuat belajar menjelang ulangan harian atau akan mengikuti tes. Selamat menikmati
Share:

Latihan Soal dan Pembahasan : Kalor (Materi fisika kelas 11)

Kalor merupakan salah satu materi fisika yang dipelajari di kelas 11 semester 1, oleh karena itu disini saya mencoba untuk membuat latihan soal materi kalor lengkap dengan pembahasannya secara terperinci, bisa dijadikan latihan untuk para siswa agar lebih memahami materi medan magnet atau referensi oleh guru dalam membuat soal ulangan. Soal yang disajikan memiliki banyak tipe soal yang diambil dari soal-soal ujian masuk atau UN sehingga cocok untuk dibuat belajar menjelang ulangan harian atau akan mengikuti tes. Selamat menikmati

Share:

Latihan Soal dan pembahasan lengkap materi : Elastisitas (fisika kelas 11)

Elastisitas merupakan salah satu materi fisika yang dipelajari di kelas 11 semester 1, oleh karena itu disini saya mencoba untuk membuat latihan soal dan pembahasan lengkap tentang materi fisika elastisitas, bisa dijadikan latihan untuk para siswa agar lebih memahami materi elastisitas atau referensi oleh guru dalam membuat soal ulangan. Soal yang disajikan memiliki banyak tipe soal yang diambil dari soal-soal ujian masuk atau UN sehingga cocok untuk dibuat belajar menjelang ulangan harian atau akan mengikuti tes. Sebelum melanjutkan membaca latihan soal ini, ada baiknya membaca dulu konsep rahasia perbandingan karena itu merupakan salah satu konsep yang sangat berguna dalam menyelesaikan latihan soal tentang materi fisika elastisitas ini. Selamat menikmati
Share:

Latihan soal fisika materi : Dinamika Rotasi (Pembahasan Lengkap)

Salah satu materi fisika kelas 11 adalah tentang dinamika rotasi, banyak siswa yang merasa kesulitan untuk mengerjakan soal tentang dinamika rotasi ini terutama terkait dengan hubungan torsi dengan gerak menggelinding, menentukan momen inersia, atau energi kinetik benda saat menggelinding. Berikut ini adalah beberapa contoh latihan soal materi fisika kelas 11 tentang dinamika rotasi lengkap dengan pembahasannya, dapat juga digunakan sebagai refrensi untuk soal ulangan harian. Semoga bisa membantu dan selamat menikmati

Tips :
ketentuan untuk momen gaya yang searah jarum jam bernilai negatif dan untuk momen gaya berlawanan arah jarum jam bernilai positif.

Share:

Soal fisika kelas 11 materi fluida statis dan pembahasannya

Berikut adalah contoh soal fisika kelas 11 untuk materi fluida statis lengkap beserta jawabannya ala saya, hehehe, dalam latihan soal ini ada 15 soal pilihan ganda. Beberapa sub soal latihan tentang fluida statis meliputi : contoh soal tekanan hidrostatis dan contoh soal tentang gaya Archimedes, contoh soal tentang hukum Pascal  yang disajikan dalam beberapa jenis soal seperti grafik, soal cerita, dan data percobaan. Soal-soal di bawah ini di ambil dari beberapa sumber yakni : soal ujian nasional (UN), soal SBMPTN, serta dari buku-buku soal yang relevan. Oh ia, sebelum mengerjakan soal latihan ini ada baiknya untuk membaca dulu artikel saya lain materi fluida statis. Selamat menikmati.

Soal nomor 1 (soal UN 2018)
(contoh soal Gaya Archimedes – aplikasi)
Sebuah patung emas yang massanya 9,65 kg dan massa jenisnya 5,15 x 103 kg.m-3 berada di dalam kapal yang karam di dasar laut. Patung tersebut akan diangkat ke permukaan laut dengan menggunakan tali kawat baja yang dihubungkan dengan alat penarik. Massa jenis air laut 1,03 x 103 kg.m-3, maka gaya minimal yang diperlukan untuk mengangkat patung emas tersebut ke permukaan adalah ....
Share:

Popular Posts

Mengenai Saya

Foto saya
Seorang yang memiliki minat dalam bidang fisika dan masih terus belajar tentang fisika. Karna fisika bagiku bukan sekedar rumus-rumus untuk mengerjakan soal

Youtube

Contact Us

Nama

Email *

Pesan *

Pengikut

Recent Posts

Unordered List

  • Lorem ipsum dolor sit amet, consectetuer adipiscing elit.
  • Aliquam tincidunt mauris eu risus.
  • Vestibulum auctor dapibus neque.

Sample Text

Lorem ipsum dolor sit amet, consectetur adipisicing elit, sed do eiusmod tempor incididunt ut labore et dolore magna aliqua. Ut enim ad minim veniam, quis nostrud exercitation test link ullamco laboris nisi ut aliquip ex ea commodo consequat.

Pages

Theme Support

Need our help to upload or customize this blogger template? Contact me with details about the theme customization you need.