Jumat, 19 Maret 2021

Efek Doppler pada gelombang bunyi | Fisika Kelas 11

Efek Doppler | Fisika Kelas 11
Mobil ambulans yang melaju dengan membunyikan sirine
(sumber : University Physics with Modern Physics)

Gambar di atas mengilustrasikan sebuah mobil ambulans yang sedang melaju dengan membunyikan sirine, jika kita berdiri di pinggir jalan maka kita akan mendapati bahwa suara sirine ambulans yang terdengar akan mengalami perubahan. Bunyi sirine akan terdengar semakin keras ketika ambulans bergerak mendekat dan akan terdengar semakin pelan ketika ambulans bergerak menjauhi kita, fenomena ini pertama kali diselidiki oleh seorang fisikawan asal Austria pada abad ke 19 yang bernama Christian Johann Doppler (1803 – 1853) yang disebut dengan efek doppler. Efek doppler ini menganalisis pengaruh gerak sumber bunyi terhadap pendengar (begitu juga sebaliknya) terhadap frekuensi bunyi yang terdengar oleh pendengar, sehingga frekuensi yang terdengar berbeda dengan frekuensi yang dikeluarkan oleh sumber bunyi. Perubahan frekuensi ini yang nantinya akan menyebabkan perubahan bunyi yang terdengar oleh pendengar, dalam melakukan analisis efek doppler kita juga harus memperhatikan gerak dari sumber bunyi atau pendengar.
Pendengar yang bergerak terhadap sumber yang diam

Efek Doppler | Fisika Kelas 11
Gambar 12. Seorang polisi sebagai pendengar (listener) bergerak menuju seorang anak yang membunyikan tape sebagai sumber (source)
(sumber : University Physics with Modern Physics)

Gambar 13 di atas menunjukkan seorang yang membunyikan tape sehingga mengeluarkan bunyi dengan frekuensi fS dan panjang gelombang sebesar λ dimana λ = v/fS. gelombang bunyi menyebar ke segala arah dengan kecepatan sebesar v dan jarak antar muka gelombang yang konstan sebesar λ (pada gambar diilustrasikan 4 garis biru yang melingkar). Jika ada seorang pendengar (listener) berada di depan sumber ia dapat mendengar bunyi dengan frekuensi fS (ketika pendengar diam vP = 0 dan sumber diam vS = 0). Akan tetapi ketika pendengar bergerak mendekat ke arah sumber dengan kecepatan vP relatif terhadap sumber maka kecepatan pendengar relatif terhadap sumber dapat ditulis (vP + v), sehingga frekuensi yang di dengar oleh pendengar dapat ditentukan dengan persamaan.

Efek Doppler | Fisika Kelas 11
Ketika pendengar bergerak menjauhi sumber dengan kecepatan vP relatif terhadap sumber maka kecepatan pendengar relatif terhadap sumber dapat ditulis (vP - v). sehingga frekuensi yang di dengar oleh pendengar dapat ditentukan dengan persamaan.
Efek Doppler | Fisika Kelas 11
Perhatikan :
Pada gambar digunakan simbol vL untuk kecepatan pendengar dan fL untuk frekuensi pendengar, hal ini sesuai dengan teks aslinya. Akan tetapi pada artikel ini
Kecepatan pendengar disimbolkan vP
Frekuensi pendengar disimbolkan fP
Kecepatan sumber disimbolkan vS
Frekuensi sumber disimbolkan fS
Cepat rambat bunyi v

Berdasarkan persamaan (25) dan (26) kita dapat mengatakan bahwa ketika pendengar bergerak mendekati sumber maka (vP > 0) sehingga frekuensi yang di dengar akan lebih besar daripada frekuensi sumber sehingga pendengar akan mendengar bunyi yang lebih keras dari sebelumnya. Akan tetapi, ketika pendengar bergerak menjauhi sumber maka (vP < 0) sehingga frekuensi yang di dengar akan lebih kecil daripada frekuensi sumber sehingga pendengar akan mendengar bunyi yang lebih pelan dari sebelumnya.
sumber dan pendengar sama – sama bergerak


Gambar 13. Sumber dan pendengar sama – sama bergerak sehingga terjadi perbedaan muka gelombang antara di depan sumber (sebelah kanan) dengan di belakang sumber (sebelah kiri)
(sumber : University Physics with Modern Physics)

Sekarang perhatikan gambar 13 di atas dimana sumber bunyi juga bergerak dengan kecepatan vS. cepat rambat bunyi di udara (sebagai medium) sebesar v, hal ini menunjukkan besaran – besaran bunyi pada medium tersebut tidak dipengaruhi oleh gerak sumber bunyi, akan tetapi panjang gelombangnya tidak lebih besar dari v/fS. sehingga dalam waktu satu periode (T = 1/fS) gelombang akan menempuh jarak sebesar s = vT atau s = v/fS dan dalam waktu tersebut sumber akan menempuh jarak sebesar sS = vST

atau sS = vS/fS. panjang gelombang merupakan jarak antara muka gelombang yang berurutan dan ini ditentukan dari perpindahan sumber bunyi terhadap gelombang bunyinya. Seperti yang ditunjukkan oleh gambar 13, ada perbedaan antara panjang gelombang di depan sumber bunyi dengan panjang gelombang di belakang sumber bunyi. untuk panjang gelombang di depan sumber bunyi dapat ditentukan dengan persamaan
Efek Doppler | Fisika Kelas 11
Sedangkan untuk panjang gelombang di belakang sumber dapat ditentukan dengan persamaan
Efek Doppler | Fisika Kelas 11
Persamaan (27) dan (28) menunjukkan bahwa panjang gelombang di depan sumber bunyi mengalami pemendekan sedangkan panjang gelombang di belakang sumber bunyi mengalami pemanjangan. Frekuensi pendengar ketika berjalan mendekati sumber dari belakang sumber dapat ditentukan dengan mensubstitusikan persamaan (25) ke persamaan (28) sebagai berikut
Efek Doppler | Fisika Kelas 11

Persamaan umum efek doppler
Persamaan (29) merupakan persamaan matematis dengan menerapkan suatu kondisi dimana pendengar bergerak mendekati sumber sedangkan sumber bergerak menjauhi pendengar, padahal dalam kenyataannya kondisi yang terjadi disekitar kita tidak selalu seperti itu, ada yang pendengar bergerak menjauhi sumber dan sumber menjauhi pendengar atau yang lain. Perbedaan kondisi ini menyebabkan bentuk persamaannya juga berbeda. Secara umum persamaan efek doppler dapat dituliskan sebagai berikut
Efek Doppler | Fisika Kelas 11
Keterangan :
fP = frekuensi pendengar (Hz)
fS = frekuensi sumber (Hz)
v = cepat rambat bunyi di udara (m/s)
vP = kecepatan pendengar (m/s)
vS = kecepatan sumber (m/s)

Dalam mengaplikasikan persamaan (30) kita perlu memperhatikan beberapa hal yakni
vP bernilai (+) jika pendengar bergerak mendekati sumber
vP bernilai (-) jika pendengar bergerak menjauhi sumber
vS bernilai (-) jika sumber bergerak mendekati pendengar
vS bernilai (+) jika sumber bergerak menjauhi pendengar

Tips:
Pada dasarnya untuk memahami persamaan efek doppler ini dapat kita sesuaikan dengan kejadian nyatanya, kita ambil satu fenomena sebagai patokan yakni ketika sumber dan pendengar bergerak saling mendekati, seperti pada gambar berikut.

Efek Doppler | Fisika Kelas 11

Ketika keduanya bergerak saling mendekat maka pendengar akan mendengar bunyi dengan frekuensi maksimal. Agar fP pada persamaan (30) bernilai maksimal maka bagian pembilang (bagian atas) harus besar dan bagian penyebut (bagian bawah) harus kecil atau secara matematis ditulis

Efek Doppler | Fisika Kelas 11
Jika arahnya berlawanan dengan fenomena patokan tadi maka tandanya (positif atau negatif) juga berlawanan

Pengaruh kecepatan angin terhadap fenomena efek doppler
Perlu diketahui bahwa persamaan (30) berlaku ketika medium perambatan bunyi diam, akan tetapi jika mediumnya (misalkan angin) juga ikut bergerak maka akan mempengaruhi cepat rambat bunyi di udara dan bentuk persamaan (30). Misalkan ada angin yang bertiup dengan kecepatan va maka persamaan (30) di tulis 

Efek Doppler | Fisika Kelas 11

Keterangan :
va : kecepatan angin (m/s)

jika angin bertiup searah dengan kecepatan sumber bunyi seperti yang terlihat pada gambar berikut

Efek Doppler | Fisika Kelas 11

Maka kecepatan angin akan bernilai positif sehingga persamaan 31 dapat ditulis

Efek Doppler | Fisika Kelas 11

Contoh soal

Soal nomor 1

sebuah ambulans bergerak dengan kelajuan 10 m/s sambil membunyikan sirene dengan frekuensi 400 Hz. cepat rambat bunyi di udara adalah 340 m/s. seorang pengendara motor mula – mula mendekat kemudian menjauh dengan kelajuan 5 m/s. berapa pelayangan bunyi sirene yang di dengar oleh pengendara ketika ia mendekati ambulans dan menjauhi ambulans?
pembahasan soal nomor 1:
Berdasarkan soal dapat diketahui
vS = 10 m/s
fS = 400 Hz
v = 340 m/s
vP = 5 m/s
fL ... ?
untuk menentukan frekuensi layangan kita harus menentukan frekuensi saat keduanya saling mendekati dan saling menjauhi
keduanya saling mendekat
ketika saling mendekat maka vP = (+) dan vS = (-) sehingga persamaan efek dopplernya dapat ditulis
Efek Doppler | Fisika Kelas 11

keduanya saling menjauh
ketika saling menjauh maka vP = (-) dan vS = (+) sehingga persamaan efek dopplernya dapat ditulis
Efek Doppler | Fisika Kelas 11

Frekuensi layangan
Frekuensi layangan merupakan selisih antara frekuensi pendengar saat keduanya saling mendekat dengan saat keduanya saling menjauh.
fL = |fP1 – fP2|
fL = |418,2 – 382,9|
fL = 35,3 Hz
Efek Doppler | Fisika Kelas 11

Soal nomor 2

sebuah kereta api dengan kelajuan 30 m/s melewati seorang yang berdiri di pinggir rel. Peluit kereta mengeluarkan nada berfrekuensi 2.000 Hz. berapakah frekuensi yang di dengar orang itu jika (a) kereta api mendekatinya dan (b) kereta api menjauhinya? (diketahui v bunyi 340 m/s)
pembahasan soal nomor 2:
Berdasarkan soal dapat diketahui
vP = 0 (pendengar diam di tepi jalan)
vS = 30 m/s
fS = 2.000 Hz
v = 340 m/s
(a) kereta api mendekatinya
ketika kereta api mendekat maka vS = (-) sehingga persamaan efek dopplernya dapat ditulis
Efek Doppler | Fisika Kelas 11

(b) kereta api menjauhinya
ketika kereta api menjauhi maka vS = (+) sehingga persamaan efek dopplernya dapat ditulis
Efek Doppler | Fisika Kelas 11

Soal nomor 3

pada kasus 1, sumber bunyi dan pendengar bergerak saling mendekati dengan kecepatan masing – masing 34 m/s. pada kasus 2, sumber bunyi dan pendengar bergerak saling menjauhi dengan kecepatan masing – masing 34 m/s. tentukan perbandingan frekuensi yang di dengar oleh pendengar pada kasus I dan kasus 2. (cepat rambat bunyi di udara = 340 m/s)
pembahasan soal nomor 3:
Berdasarkan soal dapat diketahui
vP = vS = 34 m/s
ketika keduanya saling mendekat
ketika saling mendekat maka vP = (+) dan vS = (-) sehingga persamaan efek dopplernya dapat ditulis
Efek Doppler | Fisika Kelas 11

ketika keduanya saling menjauhi
ketika saling menjauh maka vP = (-) dan vS = (+) sehingga persamaan efek dopplernya dapat ditulis
Efek Doppler | Fisika Kelas 11

Perbandingan fP1 dan fP2
Efek Doppler | Fisika Kelas 11
c
Persamaan di atas dapat digunakan untuk menentukan perbandingan frekuensi pendengar saat keduanya saling mendekati dan menjauhi
Efek Doppler | Fisika Kelas 11

Soal nomor 4

kereta A dengan kelajuan 20 m/s dan kereta B dengan kelajuan 50 m/s bergerak saling mendekati. Cepat rambat bunyi di udara 340 m/s. jika masinis kereta A membunyikan peluit dengan frekuensi 200 Hz. berapa frekuensi yang di dengar oleh masinis kereta B?
pembahasan soal nomor 4:
Berdasarkan soal dapat diketahui
Kereta A sebagai sumber karena membunyikan peluit dan kereta B sebagai pendengar, keduanya saling mendekat
vP = 50 m/s
vS = 20 m/s
fS = 200 Hz
v = 340 m/s
persamaan efek dopplernya dapat ditulis
Efek Doppler | Fisika Kelas 11

Soal nomor 5

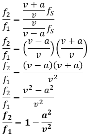
sebuah sumber bunyi bergerak dengan kecepatan a m/s menuju ke pendengar yang diam sehingga frekuensi yang didengar oleh pendengar adalah f1 . jika sumber bunyi itu diam dan pendengar bergerak dengan kecepatan a m/s mendekati sumber bunyi, frekuensi yang di dengar oleh pendengar adalah f2. Jika cepat rambat bunyi di udara v m/s, perbandingan f2 : f1 adalah ....
pembahasan soal nomor 5:
Berdasarkan soal dapat diketahui
Kasus 1
vS = a m/s (mendekati)
vP = 0
fP1 = f1
kasus 2
vS = 0
vP = a m/s (mendekati)
fP2 = f2
cepat rambat bunyi di udara = v
untuk kasus 1 persamaan efek doppler yang berlaku adalah
Efek Doppler | Fisika Kelas 11

Untuk kasus 2 persamaan efek doppler yang berlaku adalah

Efek Doppler | Fisika Kelas 11

Sehingga perbandingan antara f1 dan f2 dapat ditulis

Efek Doppler | Fisika Kelas 11

Soal nomor 6

ketika berdiri di trotoar, seorang anak mendengar frekuensi 560 Hz dari sirine mobil polisi yang mendekatinya, seterlah mobil polisi melewatinya frekuensi yang terdengar menjadi 480 Hz. berapa kelajuan mobil polisi? Diketahui kecepatan bunyi di udara 340 m/s
pembahasan soal nomor 6:
Berdasarkan soal dapat diketahui
fS1 = 560 Hz (sumber mendekat)
fS2 = 480 Hz (sumber menjauh)
v = 340 m/s
vP = 0 (diam)
untuk menentukan kecepatan sumber kita dapat menggunakan persamaan pada soal nomor 3 yakni
Efek Doppler | Fisika Kelas 11

Soal nomor 7

sebuah sumber bunyi mempunyai frekuensi 600 Hz bergerak dengan kecepatan 20 m/s mendekati seorang pengamat yang diam. tentukan besar frekuensi yang didengar oleh pengamat jika (a) tidak ada angin, (b) terdapat angin yang bergerak dengan kecepatan 10 m/s searah dengan arah sumber bunyi, (c) terdapat angin yang bergerak dengan kecepatan 10 m/s berlawanan arah dengan arah gerak sumber bunyi! diketahui cepat rambat bunyi di udara 340 m/s.
pembahasan soal nomor 7:
Berdasarkan soal dapat diketahui
fS = 600 Hz
vS = 20 m/s (mendekati)
vP = 0
v = 340 m/s
(a) tidak ada angin
persamaan efek doppler dapat ditulis
Efek Doppler | Fisika Kelas 11

(b) va = 10 m/s searah dengan sumber bunyi
persamaan efek doppler dapat ditulis
Efek Doppler | Fisika Kelas 11

(c) va = 10 m/s berlawanan dengan sumber bunyi
persamaan efek doppler dapat ditulis
Efek Doppler | Fisika Kelas 11

Soal nomor 8

a train whistle (f = 400 Hz) sound higher or lower in frekuency depending on whether it approaches or recedes. (a) prove that the difference in frekuency between the appoaching and receding train whistle is
Efek Doppler | Fisika Kelas 11
Where u is the speed of the train and v is the speed of sound. (b) Calculate this difference for a train moving at a speed of 130 km/h. Take the speed of sound in air to be 340 m/s.
Terjemahan:
Sebuah peluit kereta (f = 400 Hz) frekuensi bunyi tertinggi dan terendah bergantung apakah itu meregang atau memendek. (a) tunjukkan perbedaan frekuensi pada antara ketika teregang dan merapat adalah
Efek Doppler | Fisika Kelas 11
Dimana u adalah kecepatan kereta api dan v adalah cepat rambat bunyi. (b) hitunglah perbedaan ini untuk kecepatan kereta sebesar 130 km/jam. ambil nilai cepat rambat udara 340 m/s
pembahasan soal nomor 8:
(a) Perhatikan kembali gambar 13, muka gelombang akan mengalami pemendekan untuk di depan sumber bunyi dan mengalami pemanjangan untuk di belakang sumber bunyi. panjang gelombangnya dapat ditentukan dengan persamaan (28) dan (29). Sehingga frekuensi ketika bunyi mengalami pemendekan dan peregangan adalah
Efek Doppler | Fisika Kelas 11

Sehingga perbedaan frekuensinya dapat ditentukan
Efek Doppler | Fisika Kelas 11

(b) untuk u = 130 km/jam = 36,1 m/s dan v = 340 m/s maka perbedaan frekuensinya
Efek Doppler | Fisika Kelas 11

Soal nomor 9

Two ships are moving along a line due east (Fig. P17.64). The trailing vessel has a speed relative to a land-based observation point of v1 = 64.0 km/h, and the leading ship has a speed of v2 = 45.0 km/h relative to that point. The two ships are in a region of the ocean where the current is moving uniformly due west at vcurrent = 10.0 km/h. The trailing ship transmits a sonar signal at a frequency of 1 200.0 Hz through the water. What frequency is monitored by the leading ship?(Use 1520 m/s as the speed of sound in ocean water)
Efek Doppler | Fisika Kelas 11
Terjemahan :
Dua kapal bergerak dalam satu garis lurus ke arah timur (gambar. P17.64). kapal pemandu bergerak dengan kecepatan relatif terhadap titik pengamatan kapal utama dengan kecepatan v1 = 64 km/jam dan kapal utama bergerak dengan kecepatan v2 = 45 km/jam relatif terhadap titik pengamatan. Kedua kapal berada dalam lautan dimana arus mengalir dengan kecepatan yang sama ke arah barat sebesar varus = 10.0 km/jam. kapal pemandu memancarkan sinyal sonar dengan frekuensi sebesar 1.200,00 Hz sepanjang laut. Tentukan besar frekuensi yang di terima kapal utama!(gunakan 1520 m/s sebagai cepat rambat bunyi di air laut)
pembahasan soal nomor 9:
Berdasarkan soal dapat diketahui, kapal pemandu sebagai sumber (v1 = vS) dan kapal utama sebagai pendengar (v2 = vP) dan kecepatan arus seperti arah angin. Pertama – tama mari kita ubah satuan kecepatannya menjadi m/s
v1 = 64 km/jam = 17,8 m/s
v2 = 45 km/jam = 12,5 m/s
varus = 10 km/jam = 2,8 m/s
fS = 1.200 Hz
v = 1520 m/s

persamaan yang dapat digunakan untuk menyelesaikan soal ini adalah persamaan 31 seperti berikut
Efek Doppler | Fisika Kelas 11
Untuk kondisi seperti gambar P17.64 persamaan efek dopplernya adalah
Efek Doppler | Fisika Kelas 11



Sub Materi Gelombang Bunyi

Latihan Soal Gelombang Bunyi

Tidak ada komentar:

Posting Komentar

Mengenai Saya

Foto saya
Seorang yang memiliki minat dalam bidang fisika dan masih terus belajar tentang fisika. Karna fisika bagiku bukan sekedar rumus-rumus untuk mengerjakan soal

Pages