Latihan soal dan pembahasan | Gelombang Bunyi (PART 2)

Pada kesempatan kali ini, kita akan membahas latihan soal tentang gelombang bunyi, materi ini cukup panjang dengan banyak variasi soal, oleh sebab itu latihan soal gelombang tulis akan saya tulis dalam 3 bagian.Pada bagian ini kita akan membahas latihan soal sub bab efek doppler dan frekuensi resonansi pada dawai, Untuk mempermudah dalam menganalisis soal tentang gelombang bunyi beberapa pengetahuan dasar yang perlu dipahami antara lain adalah : gambar gelombang transversal, persamaan gelombang bunyi, efek doppler, serta kemampuan matematika dasar seperti perkalian silang, trigonometri, bentuk pecahan. Jika masih kurang memahami, jangan khawatir karna dalam pembahasan latihan soal dinamika partikel ini menggunakan teknik – teknik yang mudah dipahami. Selamat menikmati

Soal nomor 11

Mobil polisi dengan kelajuan 144 km/jam mengejar penjahat yang naik sepeda motor dengan kelajuan 108 km/jam sambil membunyikan sirine dengan frekuensi 1200 Hz. Jika cepat rambat bunyi di udara 340 m/s. frekuensi sirine mobil yang didengar oleh penjahat adalah ....
A. 1240 Hz
B. 1230 Hz
C. 1220 Hz
D. 1210 Hz
E. 1190 Hz
Kunci jawaban: "A"
pembahasan soal nomor 11:
Berdasarkan soal dapat diketahui
vs = 144 km/jam = 40 m/s
vp = 108 km/jam = 30 m/s
fs = 1200 Hz
v = 340 m/s
fp ... ?
soal di atas dapat diilustrasikan sebagai berikut
Latihan soal dan pembahasan | Gelombang Bunyi (PART 2)

Persamaan efek doppler untuk kasus di atas adalah
Latihan soal dan pembahasan | Gelombang Bunyi (PART 2)

Jadi frekuensi sirene yang di dengar penjahat adalah 1240 Hz
Tips: Untuk menentukan tanda pada persamaan efek doppler sebenarnya tidak begitu sulit karena efek doppler sendiri sering kita alami dalam kehidupan sehari – hari, yang perlu diperhatikan adalah posisi kecepatan pendengar (vp) pada persamaan tersebut sebagai pembilang (bagian atas bentuk pecahan) dan posisi kecepatan sumber (vs) sebagai penyebut (bagian bawah bentuk pecahan). Sekarang logikanya pada gambar di atas
1) Sumber (mobil polisi) ingin mendekati pendengar sehingga diharapkan bunyi didengar pendengar lebih keras. Aplikasinya dalam persamaan efek doppler agar hal ini dapat terjadi maka penyebut harus bernilai minimal (ditandai dengan tanda minus). begitu pula sebaliknya jika sumber bergerak menjauhi pendengar, maka tandanya adalah positif
2) Pendengar (penjahat) ingin menjauhi sumber sehingga diharapkan bunyi akan terdengar lebih pelan. Aplikasinya dalam persamaan efek doppler agar hal ini dapat terjadi maka pembilang harus bernilai maksimal (ditandai dengan tanda positif). Begitu pula sebaliknya jika pendengar bergerak mendekati sumber, maka tandanya adalah negatif.

Soal nomor 12

Suatu sumber bunyi 1 KHz bergerak langsung ke arah seorang pendengar yang rehat dengan kelajuan 0,9 kali kelajuan bunyi. Frekuensi bunyi yang diterimanya dalam KHz adalah ....
A. 10,0
B. 1,9
C. 1,1
D. 0,5
E. 0,1
Kunci jawaban: "A"
pembahasan soal nomor 12:
Berdasarkan soal dapat diketahui
fs = 1 KHz = 1000 Hz
vs = 0,9 v (mendekati pendengar)
vp = 0 (pendengar rehat atau diam)
fp ... ?
persamaan efek doppler untuk kasus di atas dapat ditulis
Latihan soal dan pembahasan | Gelombang Bunyi (PART 2)

Jadi frekuensi yang didengar pendengar yang rehat adalah 10 KHz

Soal nomor 13

Sebuah mobil ambulans yang menyalakan sirene bergerak menuju suatu perempatan lalu lintas. Orang yang diam di perempatan tersebut mendengar frekuensi sirene sebesar 900 Hz, ketika ambulans mendekati perempatan dan frekuensi sebesar 800 Hz ketika ambulans tersebut menjauhi perempatan. Asumsikan kecepatan ambulans konstan dan kecepatan bunyi di udara sebesar 340 m/s. Kecepatan ambulans adalah ....
A. 72 km/jam
B. 60 km/jam
C. 54 km/jam
D. 48 km/jam
E. 34 km/jam
Kunci jawaban: "A"
pembahasan soal nomor 13:
Berdasarkan soal dapat diketahui
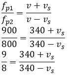
fp1 = 900 Hz (mendekati pendengar)
fp2 = 800 Hz (menjauhi pendengar)
v = 340 m/s
vp = 0 (pendengar diam di perempatan)
vs ... ?
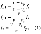
ketika sumber mendekati pendengar persamaan efek dopplernya dapat ditulis
Latihan soal dan pembahasan | Gelombang Bunyi (PART 2)

ketika sumber menjauhi pendengar persamaan efek dopplernya dapat ditulis
Latihan soal dan pembahasan | Gelombang Bunyi (PART 2)

Kedua persamaan di atas dapat digabungkan menjadi
Latihan soal dan pembahasan | Gelombang Bunyi (PART 2)

Persamaan di atas dapat kita sebut sebagai persamaan perbandingan frekuensi pendengar antara ketika sumber bergerak mendekati pendengar (fp1) dengan ketika sumber bergerak menjauhi pendengar (fp2). Sehingga kita dapat menuliskan
Latihan soal dan pembahasan | Gelombang Bunyi (PART 2)

9 (340 – vs) = 8 (340 + vs)
9 . 340 – 9 vs = 8 . 340 + 8 vs
9 . 340 – 8 . 340 = 9 vs + 8 vs
(9 – 8) 340 = (9 + 8) vs
17 vs = 340
vs = 20 m/s
vs = 72 km/jam

Soal nomor 14

Sebuah mobil membunyikan klakson dengan frekuensi sebesar 400 Hz dan bergerak dengan kelajuan sebesar 10 m/s menuju ke suatu gedung besar. bunyi klakson yang dipantulkan dari gedung mengalami superposisi dengan bunyi yang dipancarkan. Frekuensi layangan yang didengar oleh pengemudi mobil adalah .... (cepat rambat bunyi adalah 340 m/s)
A. 6,06 Hz
B. 6,25 Hz
C. 8,00 Hz
D. 11,80 Hz
E. 12,12 Hz
Kunci jawaban: ""
pembahasan soal nomor 14:
Berdasarkan soal dapat diketahui
fs = 400 Hz
vs = 10 m/s
v = 340 m/s
soal di atas dapat diilustrasikan sebagai berikut
Latihan soal dan pembahasan | Gelombang Bunyi (PART 2)

Untuk menyelesaikan soal di atas, kita dapat meninjaunya dalam dua kejadian yakni ketika mobil bergerak mendekati tembok dimana mobil sebagai sumber bunyi dan tembok sebagai pendengar seperti pada gambar 1 dan ketika tembok memantulkan bunyi yang kemudian di dengar oleh mobil seperti pada gambar 2 (asumsikan frekuensi tidak berubah setelah memantul dari tembok yakni 400 Hz), selisih dari frekuensi dari bunyi yang dikeluarkan oleh mobil dengan frekuensi yang di dengar mobil setelah bunyi memantul di tembok ini yang disebut dengan frekuensi layangan.
Gerakan 1
Efek doppler pada gerakan 1 dapat ditulis
Latihan soal dan pembahasan | Gelombang Bunyi (PART 2)

Frekuensi yang diterima oleh tembok ini yang nantinya sebagai frekuensi sumber pada gerakan ke 2
Gerakan 2
Efek doppler pada gerakan 2 dapat ditulis
Latihan soal dan pembahasan | Gelombang Bunyi (PART 2)

Frekuensi layangan
Frekuensi layangan dapat ditentukan dengan cara
Latihan soal dan pembahasan | Gelombang Bunyi (PART 2)

Soal nomor 15

Mobil A mendekati pengamat P (diam) dengan kecepatan 30 m/s sambil membunyikan sirine berfrekuensi 504 Hz. Saat itu juga mobil B mendekati P dari arah yang berlawanan dengan A, pada kecepatan 20 m/s sambil membunyikan sirene berfrekuensi 518 Hz. Jika cepat rambat bunyi di udara saat ini 300 m/s, frekuensi layangan yang di dengar P adalah ....
A. 14 Hz
B. 10 Hz
C. 7 Hz
D. 5 Hz
E. 4 Hz
Kunci jawaban: "D"
pembahasan soal nomor 15:
Berdasarkan soal dapat diketahui
vp = 0
vA = 30 m/s (mendekati pengamat)
fA = 504 Hz
vB = 20 m/s (mendekati pengamat)
fB = 518 Hz
v = 300 m/s
fL ....?
pengamat P yang diam akan mendengar suara dari sirene mobil A dan mobil B, sehingga selisih frekuensi dari kedua mobil tersebut merupakan frekuensi layangan yang didengar pengamat P untuk frekuensi yang di dengar dari kedua mobil tersebut oleh pengamat P dengan efek doppler dapat ditulis
Latihan soal dan pembahasan | Gelombang Bunyi (PART 2)

Sehingga frekuensi layangan yang di dengar oleh pengamat P adalah
Latihan soal dan pembahasan | Gelombang Bunyi (PART 2)

Soal nomor 16

Sebuah mobil ambulans bergerak dengan kelajuan 30 m/s sambil membunyikan sirine yang menghasilkan frekuensi 900 Hz. Perbedaan frekuensi yang terdengar oleh pengamat yang diam dipinggir jalan ketika mobil ambulans mendekati dan menjauhinya. Jika cepat rambat bunyi di udara saat itu 340 m/s adalah sekitar ....
A. 30 Hz
B. 60 Hz
C. 95 Hz
D. 135 Hz
E. 160 Hz
Kunci jawaban: "E"
pembahasan soal nomor 16:
vs = 30 m/s
fs = 900 Hz
v = 340 m/s
Δf ... ? (mendekati dan menjauhi)
Ketika mendekati dan menjauhi persamaan efek dopplernya dapat ditulis
Latihan soal dan pembahasan | Gelombang Bunyi (PART 2)

Sehingga perbedaan frekuensinya secara matematis dapat ditulis
Latihan soal dan pembahasan | Gelombang Bunyi (PART 2)

Soal nomor 17

Suatu sumber bunyi bergerak relatif terhadap pendengar yang diam. bila cepat rambat bunyi di udara 325 m/s dan kecepatan sumber bunyi 25 m/s, maka perbandingan frekuensi yang diterima pendengar itu pada saat sumber mendekati dan menjauhi adalah ....
A. 5 : 6
B. 6 : 7
C. 7 : 6
D. 6 : 5
E. 5 : 4
Kunci jawaban: "C"
pembahasan soal nomor 17:
Berdasarkan soal dapat diketahui
vs = 25 m/s
v = 325 m/s
dengan menggunakan persamaan yang sudah kita temukan di soal nomor 13, maka kita dapat menentukan perbandingan frekuensi pendengar saat sumber mendekati dan menjauhi pengamat yakni sebagai berikut
Latihan soal dan pembahasan | Gelombang Bunyi (PART 2)

Soal nomor 18

Tali yang panjangnya 5 m bertegangan 2 N dan digetarkan sehingga terbentuk gelombang stasioner. Jika massa tali 6,25 x 10-3 kg. Cepat rambat gelombang di tali adalah .... (dalam m/s)
A. 2
B. 5
C. 6
D. 10
E. 40
Kunci jawaban: "E"
pembahasan soal nomor 18:
Berdasarkan soal dapat diketahui
L = 5 m
F = 2 N
m = 6,25 x 10-3 kg
v ... ?
persamaan untuk menentukan kecepatan benda adalah
Latihan soal dan pembahasan | Gelombang Bunyi (PART 2)

Soal nomor 19

Sebuah gelombang transversal merambat pada tali sesuai persamaan y = 0,05 sin 2Ï€ (2x + 20t) dengan x dan y dalam m dan t dalam s. jika massa jenis linear tali tersebut 9 x 10-4 kg/m, tegangan tali saat itu adalah ....
A. 0,06 N/m2
B. 0,09 N/m2
C. 0,24 N/m2
D. 0,36 N/m2
E. 0,72 N/m2
Kunci jawaban: "B"
pembahasan soal nomor 19:
Berdasarkan soal dapat diketahui
y = 0,05 sin 2Ï€ (2x + 20t)
μ = 9 x 10-4 kg/m
F ... ?
persamaan di atas dapat ditulis
y = 0,05 sin (4Ï€x + 40Ï€t)
dimana
ω = 40π
k = 4Ï€
Menentukan kecepatan
v = ω/k
v = 40Ï€/4Ï€
v = 10 m/s
Menentukan gaya tegangan tali
maka, besar tegangan talinya dapat ditentukan dengan persamaan
Latihan soal dan pembahasan | Gelombang Bunyi (PART 2)

Soal nomor 20

Dawai piano yang panjangnya 0,5 m dan massanya 10-2 kg ditegangkan 200 N, maka nada dasar piano adalah berfrekuensi ....
A. 100 Hz
B. 200 Hz
C. 400 Hz
D. 600 Hz
E. 800 Hz
Kunci jawaban: "A"
pembahasan soal nomor 20:
Berdasarkan soal dapat diketahui
L = 0,5 m
m = 10-2 kg
F = 200 N
f0 ... ?
menentukan cepat rambat bunyi
Latihan soal dan pembahasan | Gelombang Bunyi (PART 2)

menentukan frekuensi nada dasar
untuk menentukan frekuensi nada dasar, kita dapat menggunakan dua cara yakni dengan langsung memasukkan rumusnya (jika hafal) atau dengan menggambar gambar dawai ketika terjadi frekuensi nada dasar
menggunakan rumus
rumus frekuensi untuk dawai adalah
Latihan soal dan pembahasan | Gelombang Bunyi (PART 2)

menggunakan gambar
gambar dawai ketika membentuk nada dasar (harmonik ke 1) adalah seperti berikut
Latihan soal dan pembahasan | Gelombang Bunyi (PART 2)

Berdasarkan gambar di atas, untuk nada dasar pada dawai terbentuk 1 perut dan 2 simpul dan diketahui pula L = ½ λ atau λ = 2L, sehingga frekuensi nada dasarnya dapat ditentukan dengan persamaan yang sederhana yakni
v = λ . f0 (f0 untuk frekuensi pada nada dasar)
100 = 2L . f0
100 = 2 . ½ . f0
f0 = 100 Hz
Sebenarnya dengan memahami gambar nada dasar pada dawai kita akan menemukan bahwa ini merupakan pola untuk nada – nada atas selanjutnya, dimana setiap kenaikan satu nada akan terbentuk 1 perut lagi (jadi tinggal hitung jumlah perutnya). Misalkan untuk nada atas ke 1 akan terbentuk 2 perut, nada atas ke 2 akan terbentuk 3 perut, jadi kita tinggal memasukkan nilai pajang dawai (L) ke persamaan cepat rambat gelombangnya.

Soal nomor 21

Dalam sebuah percobaan gelombang pada tali terbentuk 4 perut dan 5 simpul gelombang ketika beban pada tali adalah a kg. Jika pada gelombang tersebut beban diubah menjadi 4a, banyaknya perut dan simpul yang terbentuk agar diperoleh frekuensi sama dengan sebelumnya adalah ....
A. 2 perut dan 3 simpul
B. 4 perut dan 5 simpul
C. 5 perut dan 4 simpul
D. 8 perut dan 9 simpul
E. 9 perut dan 8 simpul
Kunci jawaban: "A"
pembahasan soal nomor 21:
Berdasarkan soal dapat diketahui bahwa pada kondisi awal ketika massa benda adalah a terbentuk 4 perut dan lima simpul, hal ini menunjukkan frekuensi dawai yang terbentuk pada keadaan nada atas ke 3 (perhatikan konsep pada soal 20) atau bisa diilustrasikan seperti berikut
Latihan soal dan pembahasan | Gelombang Bunyi (PART 2)

Secara matematis dapat ditulis
v = λ f3 (f3 merupakan frekuensi nada atas ke 3)
√F/μ = 2L f3
√F = √μ 2L f3
mg = μ (2L)2 (f3)2
ag = 4μ L2 (f3)2
ag = 4μ L2 (f3)2
f32 = 4μ L2/ag
berdasarkan persamaan di atas terlihat bahwa kuadrat frekuensi berbanding terbalik dengan massa benda. sehingga persamaan perbandingannya dapat ditulis
Latihan soal dan pembahasan | Gelombang Bunyi (PART 2)

Ternyata ketika massa benda diubah menjadi 4a perbandingan frekuensinya sama dengan 1 : 2 dengan frekuensi nada atas ke tiga. pada dawai perbandingan frekuensinya berlaku sebagai berikut
f0 : f1 : f2 : f3 = 1 : 2 : 3 : 4
sehingga yang sesuai dengan perbandingan di atas adalah frekuensi nada atas ke 1
f1 : f3 = 2 : 4
f1 : f3 = 1 : 2
nada atas ke 1 akan terbentuk 2 perut dan 3 simpul

Soal nomor 22

Seutas kawat yang memiliki massa jenis linear 0,05 gram/cm ditegangkan di antara dua tiang kaku dengan tegangan 450 N. diamati bahwa kawat beresonansi pada frekuensi 450 Hz. Frekuensi lebih tinggi berikutnya di mana kawat beresonansi adalah 525 Hz. Panjang kawat tersebut adalah ....
A. 1,0 m
B. 2,0 m
C. 3,0 m
D. 4,0 m
E. 5,0 m
Kunci jawaban: "B"
pembahasan soal nomor 22:
Berdasarkan soal dapat diketahui
μ = 0,05 gram / cm
μ = 0,005 kg/m
F = 450 N
fn = 450 Hz
fn+1 = 525 Hz
L ... ?
Perbandingan frekuensi resonansinya adalah
fn : fn+1 = 450 : 525
fn : fn+1 = 6 : 7
berdasarkan perbandingan di atas terlihat bahwa fn terjadi ketika dawai beresonansi pada nada atas ke 5 dan fn+1 beresonansi pada nada atas ke 6 (ingat perbandingan ke 1 adalah untuk nada dasar), sehingga kita dapat menentukan panjang dawai dengan persamaan
Latihan soal dan pembahasan | Gelombang Bunyi (PART 2)

Soal nomor 23

Sepotong dawai menghasilkan nada dasar f. Bila dipendekkan 8 cm tanpa mengubah tegangan dihasilkan frekuensi 1,25f. Jika dawai dipendekkan 2 cm lagi, maka frekuensi yang dihasilkan adalah ....
A. 2f
B. 1,5f
C. 1,33f
D. 1,25f
E. f
Kunci jawaban: "C"
pembahasan soal nomor 23:
Berdasarkan soal dapat diketahui
f01 = f
L1 = L
L2 = L - 8
f02 = 1,25 f
f03 ... (L3 = L – 10)
soal di atas merupakan soal perbandingan antara panjang tali dawai dengan frekuensi nada dasar yang terbentuk, persamaan frekuensi resonansi untuk dawai adalah
Latihan soal dan pembahasan | Gelombang Bunyi (PART 2)

Berdasarkan persamaan di atas, kita dapat mengetahui bahwa frekuensi berbanding terbalik dengan panjang tali, sehingga persamaan perbandingannya dapat ditulis
Latihan soal dan pembahasan | Gelombang Bunyi (PART 2)

Untuk kondisi 1 dan 2
Latihan soal dan pembahasan | Gelombang Bunyi (PART 2)

Untuk kondisi 1 dan 3
Latihan soal dan pembahasan | Gelombang Bunyi (PART 2)

demikian latihan soal dan pembahasan untuk materi gelombang bunyi untuk mata pelajaran fisika kelas 11 part 2. semoga dapat memberikan manfaat bagi para pembaca sekalian, jika ada pertanyaan, saran, dan kritik bisa di sampaikan di kolom komentar di bawah ini.

Latihan soal dan pembahasan gelombang bunyi : PART 1 | PART 3

Share:

Tidak ada komentar:

Posting Komentar

Popular Posts

Mengenai Saya

Foto saya
Seorang yang memiliki minat dalam bidang fisika dan masih terus belajar tentang fisika. Karna fisika bagiku bukan sekedar rumus-rumus untuk mengerjakan soal

Youtube

Contact Us

Nama

Email *

Pesan *

Pengikut

Recent Posts

Unordered List

  • Lorem ipsum dolor sit amet, consectetuer adipiscing elit.
  • Aliquam tincidunt mauris eu risus.
  • Vestibulum auctor dapibus neque.

Sample Text

Lorem ipsum dolor sit amet, consectetur adipisicing elit, sed do eiusmod tempor incididunt ut labore et dolore magna aliqua. Ut enim ad minim veniam, quis nostrud exercitation test link ullamco laboris nisi ut aliquip ex ea commodo consequat.

Pages

Theme Support

Need our help to upload or customize this blogger template? Contact me with details about the theme customization you need.